Vérin
Un vérin est un tube cylindrique dans lequel une pièce mobile sépare le volume du cylindre en deux chambres isolées l'une de l'autre.
Catégories :
Dispositif mécanique - Hydraulique - Hydromécanique - Automatisme - Automatique - Robotique
Recherche sur Google Images :
Source image : www.usinenouvelle.com Cette image est un résultat de recherche de Google Image. Elle est peut-être réduite par rapport à l'originale et/ou protégée par des droits d'auteur. |
Page(s) en rapport avec ce sujet :
- Vérin avec blocage du piston Bimba. Vérins de bloqueur de tige... Il ne peut pas être utilisé pour l'arrêt intermédiaire ; le vérin est conçu pour empêcher... (source : directindustry)
- Le vérin a un diamètre de piston de 25 mm et une pression d'utilisation de 10 bars.... Ce guide de tige de vérin est en premier lieu une pièce de frottement.... (source : cuivre)
- tissement ZED, la vitesse de la tige du vérin est régulée. Les chocs... ment du piston tige (10) d'un vérin amplificateur standard TOX... (source : tox-en)
- Pour la commune française de la Loire (département) : voir Vérin (Loire)
Un vérin est un tube cylindrique (le cylindre) dans lequel une pièce mobile (le piston) sépare le volume du cylindre en deux chambres isolées l'une de l'autre. Un ou plusieurs orifices permettent d'introduire ou d'évacuer un fluide dans l'une ou l'autre des chambres et ainsi déplacer le piston.
Une tige rigide est attachée au piston et sert à transmettre effort et déplacement. Le plus souvent la tige est protégée contre les agressions extérieures par un traitement augmentant la dureté superficielle. Selon les conditions d'exploitation, des revêtements appropriés à base de chrome, de nickel et chrome ou de céramique sont réalisés.
L'étanchéité entre les chambres du vérin ou entre corps et tige est réalisée par des joints. Cette fonction est essentielle, car elle caractérisera le rendement et la durée de vie du vérin. On protégera spécifiquement le vérin des risques d'introduction de pollution par la tige grâce à l'installation d'un joint racleur.
Le guidage est assuré par des porteurs en matériaux à faible friction (bronze, matériaux composites, ... ). Leur choix dépendra du fluide et des caractéristiques de charge et de vitesse du vérin.
Différents types de vérins
Il existe de particulièrement nombreux types de vérins. On les distingue par le fluide de travail (vérins hydrauliques, vérins pneumatiques), par leur action (simple action ou simple effet, double action ou double effet, rotatif), ou par d'autres caractéristiques (vérins à chambre ovale, vérins à double tige, vérins à câble, vérins télescopiques, etc. )
- Le vérin pneumatique est utilisé avec de l'air comprimé entre 2 et 10 bars dans un usage courant.
Simple à mettre en œuvre, il est particulièrement habituel dans les dispositifs automatisés industriels.
- Le vérin hydraulique est utilisé avec de l'huile sous pression, jusqu'à 350 bars dans un usage courant. Plus coûteux, il est utilisé pour les efforts plus importants et les vitesses plus précises (et plus aisément régulables) qu'il peut développer.
- Le vérin manuel vis-écrou : La tige du vérin est une vis hélicoïdale (guidée en rotation) entrainée par un écrou (fixe en translation). L'écrou est actionné par un levier ou par un dispositif de vis sans fin qui, en tournant, fait monter ou descendre la tige.
- les vérins électriques qui produisent un mouvement identique mais avec l'aide d'un dispositif vis-écrou (liaison glissière hélicoïdale), dont l'écrou est entraîné par un moteur électrique.
Caractéristiques d'un vérin
Un vérin se définit par sa course, par le diamètre de son piston et par la pression qu'il peut admettre :
- La course correspond à la longueur du déplacement à assurer,
- L'effort développé dépend de la pression du fluide et du diamètre du piston.
La force développée par un vérin est 
- F est la force développée exprimée en Newton.
- P est la pression exprimée en Pascal
- S est la surface d'application de la pression exprimée en m²,
avec R le rayon du piston en m.
En automatismes, on emploie aussi les unités pratiques : F en daN, P en bar et S en cm². On emploie aussi fréquemment F en N, P en MPa et S en mm².
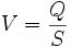
La vitesse de sortie du piston dépend de la surface du piston et du débit de fluide qui rentre dans la chambre motrice : 
- V la vitesse en m/s.
- Q le débit volumique en m³/s.
- S la surface d'application (surface du piston) en m².
Le produit de la surface du piston par la course donne la cylindrée du vérin; elle correspond au volume de fluide indispensable pour sortir toute la tige du piston.
On vérifiera l'élancement de la tige pour éviter son flambement en poussant. Pour les grands vérins à grande course on utilise des tiges creuses alimentées en huile pour diminuer le risque de flambement.
Vérin simple effet (VSE)
Un vérin simple effet ne travaille que dans un sens (fréquemment, le sens de sortie de la tige). L'arrivée de la pression ne se fait que sur un seul orifice d'alimentation ce qui entraîne le piston dans un seul sens, son retour s'effectuant sous l'action d'un ressort ou d'une force extérieure (habituel en hydraulique).
Fig. A Vérin simple effet avec son distributeur3/2
L'utilisation d'un distributeur à une seule sortie est par conséquent suffisante (distributeur 3/2) ou d'un clapet logique pour les débits plus importants.
L'emploi de ces vérins reste limité aux faibles courses.
L'usage des vérins simple effet est particulièrement courant dans les presses hydrauliques. Ils permettent de développer des efforts particulièrement importants. Ils sont alors associés à des vérins qui plus est faibles sections servant à réaliser les vitesses rapides d'approche ou de rappel. Des clapets de grosse section permettent le remplissage ou la vidange rapide des vérins et sont directement raccordés au réservoir fréquemment localisé en charge.
Vérin double effet (VDE)
Un vérin double effet a deux directions de travail. Il comporte deux orifices d'alimentation et la pression est appliquée alternativement de chaque côté du piston ce qui entraîne son déplacement dans un sens puis dans l'autre. On vérifiera que le vérin ne sera pas soumis aux effets de multiplication de pression qui pourraient le faire éclater du côté de sa tige.
Associé à une servovalve ou un distributeur à commande proportionnelle, ainsi qu'un capteur de position ou des capteurs de pression, le vérin devient alors un servo-vérin. Cet actionneur est extrêmement utilisé dans l'ensemble des servo-mécanismes.
Les vérins sont fréquemment équipés d'amortisseurs de fin-de-course qui évitent les chocs du piston.
Fig. B Vérin double effet avec son distributeur 4/2 L'air comprimé est distribué par un distributeur à deux sorties.
Servo-vérin
C'est un vérin asservi. Il est équipé soit d'un distributeur à commande proportionnelle soit d'une servovalve et d'un ou plusieurs capteurs. Selon sa performance, il sera équipé de joints à faible frottement ou de paliers hydrodynamiques, ou alors de paliers hydrostatiques pour les plus performants. La réponse d'un servo-vérin dépend de ses dimensions, de la masse embarquée, de la qualité de l'organe de commande, de la longueur des circuits d'alimentation. Les régulateurs numériques actuellement permettent de perfectionner la réponse des servo-dispositifs hydrauliques.
L'effort développé par un servo-vérin dépend des pressions résultantes dans les deux chambres. Celles-ci créent des efforts antagonistes et sont dues aux pertes de charge générées par l'organe de contrôle qui laminent le fluide.
Vérin à tige télescopique
Tel une antenne télescopique, ce vérin comporte différentes tiges imbriquées l'une dans l'autre, qui permettent en se dépliant, d'atteindre des objets assez loin (10m). La pression, le plus souvent de l'huile, pousse le gros piston qui, arrivé en fin de course met l'huile en communication avec le deuxième vérin par un orifice. Pour le retour, le fluide emprunte le même chemin (c'est un vérin à simple effet).
Ils sont essentiellement utilisés quand l'encombrement au repos est réduit :
- Les camions-bennes en sont fréquemment équipées pour le déchargement de matériaux (sable - terre - déchets),
- Les tables élévatrices, les montes charges,
Vérin rotatif
Les vérins rotatifs se classent en deux catégories :
- Ceux qui permettent de convertir un mouvement linéaire en rotation pour créer un couple. Ils sont composés d'un corps cylindrique comprenant deux pistons reliés par un axe-crémaillère qui engrène avec pignon qui est mis en rotation par le mouvement de cet axe.
L'angle de rotation de l'arbre (ou de l'alésage) de sortie fluctue selon la longueur de la crémaillère.
- Ceux qui sont directement alimentés par un dispositif rotatif type palette, mais peuvent être aussi avec pignon et crémaillère. Le piston est solidaire de l'axe de sortie et peut pivoter selon un angle qui peut aller jusqu'à 270°.
Vérin souple
Ou vérin gonflable ; ce sont des vérins le plus souvent gonflés à l'air, mais pour des applications spécifiques on peut employer l'eau, l'huile, le glycol pour sa qualité antigel. Ces vérins, aussi nommés coussins gonflables sont composés d'un corps en caoutchouc seul ou pris entre deux flasques métalliques pour la fixation. Leurs fonctions mécaniques sont particulièrement diverses :
- fabrication dimensionnelle particulièrement aisée pour les coussins (de 100 à 1000mm de côté), ou toutes autres formes,
- matière fait à partir de tissu vulcanisé,
- faible épaisseur et encombrement réduit,
- adaptation aisée et force de levage importante (jusqu'à 7 à 8 bars de pression), pression uniformément répartie,
- adapté à tous types de besoin : lever, presser, déplacer, pousser, amortir (amortisseurs pneumatiques)
Leurs simplicités technologiques en font d'un usage particulièrement répandu, non seulement dans l'industrie (table élévatrice et manutentions diverses), mais également dans les secteurs du dépannage et les services de secours (soulèvement d'objets encombrants).
Multiplicateur de pression
Le piston sépare les deux chambres du vérin. La section de la chambre côté tige est réduite. Ainsi un vérin aura un rapport de section. On pourra profiter de cette différence de section pour effectuer une multiplication de pression. Il suffira alors d'alimenter la section pleine et de récupérer une pression plus élevée dans la valeur du rapport du côté de la tige.
Ce principe est utilisé pour l'hydraulique, le pneumatique et énormément d'autres fluides.
Vérin sans tige
Ce sont des vérins pneumatiques qui possèdent l'avantage d'un encombrement réduit. Ces vérins peuvent avoir de grandes courses. Ils sont particulièrement utilisés dans les dispositifs de transfert et robotisés.
Vérins à gaz
Le vérin à gaz, aussi nommé ressort à gaz, est un tube étanche contenant un gaz comprimé dans lequel se déplace un piston relié à l'extérieur par une tige. Ces vérin contiennent une petite quantité de lubrifiant pour le bon fonctionnement de la tige.
Selon l'utilisation et l'effort indispensable à apporter, les vérins sont plus ou moins tarés pour servir de contrepoids pour l'ouverture ou/et la fermeture de portes, de coffres à bagages, de capots moteurs, de hayons, etc.. des véhicules automobiles.
Dans l'immobilier, on les trouve pour la manœuvre des trappes de désenfumage ou divers carters qui demanderaient un effort physique trop important.
Dans le mobilier, on trouve de petits vérins à gaz pour l'ouverture et la fermeture de portes qui s'ouvrent vers le haut
Vérins spéciaux
Les vérins spéciaux sont des vérins qui peuvent se brancher soit comme de vérin simple effet soit comme un vérin double effet.
Ils sont réalisés à la demande et ne sont le plus souvent pas en stock.
Voir aussi
Liens externes
- Photos de vérins hydrauliques démontés
- Exemple d'utilisation des vérins hydrauliques
- Vérins hydrauliques utilisés pour la coupe du bois
- Vérins hydrauliques agricole
Recherche sur Amazone (livres) : |
Voir la liste des contributeurs.
La version présentée ici à été extraite depuis cette source le 14/04/2009.
Ce texte est disponible sous les termes de la licence de documentation libre GNU (GFDL).
La liste des définitions proposées en tête de page est une sélection parmi les résultats obtenus à l'aide de la commande "define:" de Google.
Cette page fait partie du projet Wikibis.








Accueil
Recherche
Début page
Contact
Imprimer
Accessibilité