Automatique
L'automatique fait partie des sciences de l'ingénieur. Cette discipline traite de la modélisation, de l'analyse, de la commande et, de la régulation des dispositifs dynamiques.
L'automatique fait partie des sciences de l'ingénieur. Cette discipline traite de la modélisation, de l'analyse, de la commande et , de la régulation des dispositifs dynamiques. Elle a pour fondements théoriques les mathématiques, la théorie du signal et l'informatique théorique. L'automatique permet l'automatisation de tâches par des machines fonctionnant sans intervention humaine. On parle alors de dispositif asservi ou régulé.
Les hommes de l'art en automatique ou automatisme s'appellent automaticiens.
Un exemple simple est celui du régulateur de vitesse d'une automobile, il sert à maintenir le véhicule à une vitesse constante, vitesse-consigne déterminée par le conducteur, indépendamment de la pente de la route.
Généralités, concepts
On désire contrôler la température d'un four. La première tâche consiste à analyser le dispositif "four" ainsi qu'à le modéliser sous forme d'équations. On pourra ainsi exactement relier l'entrée du dispositif (une tension commandant la température) à la sortie (la température voulue du four). Cette relation peut se faire sous la forme d'une équation différentielle ou d'une fonction de transfert. On détermine aussi les conditions de stabilité du dispositif (on ne veut pas que le four se mette à augmenter la température sans s'arrêter). On va ensuite synthétiser un nouveau dispositif, le "régulateur", ce dernier aura pour entrées la consigne (autrement dit la température souhaitée à l'intérieur du four) mais aussi la température réelle du four apporté par un capteur et pour sortie la commande du four. Les deux dispositifs "régulateur" et "four" sont mis en cascade. La totalité forme ce qu'on nomme un dispositif asservi. Ce dernier doit répondre à un certain nombre d'exigences :
- La stabilité (le régulateur ne doit pas rendre le dispositif instable),
- la poursuite (la température du four doit atteindre la température en consigne, on peut spécifier dans le cahier des charges si on a des contraintes de rapidité ou de dépassement),
- le rejet des perturbations (on ouvre la porte du four, la température descend, la température doit rejoindre la température voulue).
Le "régulateur" peut alors être réalisé sous forme analogique (Circuit électronique avec résistances, condensateurs... ) ou numérique (Microcontrôleur).
À propos des dispositifs
Un dispositif est une modélisation d'un procédé en fonctionnement. Il possède une ou plusieurs entrées, et une ou plusieurs sorties.
Les entrées du dispositif sont nommées variables exogènes, qui rassemblent les perturbations et les variables manipulées, commandes ou grandeurs de réglage. Elles sont fréquemment représentées de manière générique par la lettre u ou e. Elles sont reliées au procédé comme tel par un actionneur.
Les sorties du dispositif sont nommées variables contrôlées, mesures ou grandeurs réglées. Elles sont fréquemment représentées de manière générique par la lettre y. Le procédé est relié à la sortie du dispositif par un capteur.
Dans le cas d'un dispositif échantillonné, les entrées et sortie sont à temps discret, mais le dispositif en-lui même demeure à temps continu. Le dispositif inclut par conséquent un convertisseur numérique-analogique en entrée, un convertisseur analogique-numérique en sortie et une horloge servant à fixer la fréquence d'échantillonnage.
Il existe une illimitété d'exemples de dispositifs : des dispositifs mécaniques, des dispositifs électriques ou des procédés chimiques. La représentation du dispositif ne pourra alors se faire qu'avec de bonnes connaissances dans le domaine physique correspondant.
Les différents dispositifs
Les dispositifs peuvent être classés en plusieurs catégories.
Dispositifs à temps continu, à temps discret
- Dispositifs à temps continus : Ce sont les dispositifs qui existent naturellement.
- Dispositifs à temps discrets : ce sont des dispositifs dont le temps a été discrétisé. Ces dispositifs n'existent pas à l'état naturel (la majorité des dispositifs physiques naturels sont de type à temps continu), mais dans la mesure où la majorité des contrôleurs utilisés en automatique sont calculés par des processeurs numériques, il est quelquefois intéressant de modéliser le dispositif commandé comme un dispositif à temps discret.
- Dispositifs à évènements discrets : dispositifs dont le fonctionnement peut être modélisé par des évènements discrets. Le plus souvent, ces dispositifs sont modélisés par des réseaux de Petri, ou par les algèbres de dioïdes. Des exemples sont les réseaux ferroviaires, ou le fonctionnement d'une chaîne de montage.
- Dispositifs hybrides : Dispositifs dont la modélisation nécessite l'utilisation des techniques liées aux dispositifs continus ainsi qu'aux dispositifs à évènements discrets, par exemple : une boîte de vitesse de voiture.
Dispositifs monovariables, dispositifs multivariables
Quatre possibilités existent :
- le dispositif a une entrée et une sortie, c'est un dispositif monovariable ou SISO (Single Input Single Output),
- le dispositif a plusieurs entrées et plusieurs sorties, c'est un dispositif multivariable ou MIMO (Multiple Input Multiple Output),
- le dispositif a une entrée et plusieurs sorties, dispositif SIMO,
- le dispositif a plusieurs entrées et une sortie, dispositif MISO.
Dispositif stationnaire
Ce sont des dispositifs dont les paramètres du modèle mathématique ne fluctuent pas au cours du temps.
Dispositifs linéaires ou non linéaires
On dit qu'un dispositif est linéaire si la sortie est linéaire comparé à l'entrée.
Aucun dispositif n'est strictement linéaire, ne serait-ce que par les saturations (butées physiques, par exemple) qu'il comporte ou encore par les phénomènes d'hystérésis.
Inversement, un dispositif non-linéaire peut quelquefois être reconnu comme linéaire dans une certaine plage d'utilisation. Il faut toujours garder à l'esprit que le dispositif sur lequel on peut travailler n'est qu'un modèle mathématique de la réalité, et que donc il y a une perte d'information lors du passage au modèle. Bien sûr, il incombe à l'ingénieur de juger la pertinence de son modèle vis à vis des objectifs fixés.
Représentation des dispositifs linéaires invariants
Les automaticiens ont l'habitude de représenter graphiquement un dispositif asservi par l'utilisation de schéma-bloc.
Equation différentielle et fonction de transfert
Un dispositif physique se décrit le plus souvent avec des équations différentielles (principe essentiel de la dynamique, caractéristique d'un condensateur ou d'une bobine …). La transformée de Laplace permet alors de passer de l'équation différentielle à une fonction de transfert.
Pour un dispositif à temps discret on utilise la transformée en Z.
Cette fonction permettra de déduire le comportement entrée-sortie du dispositif.
Représentations temporelles
On peut s'intéresser au comportement du dispositif quand on le soumet à certains signaux comme une impulsion de Dirac ou un échelon. On peut en déduire un certain nombre de caractéristiques du dispositif.
Représentations fréquentielles
Le diagramme de Bode représente, sur des graphes scindés, le gain et la phase selon la fréquence.
Le lieu de Nyquist représente la partie imaginaire de la fonction de transfert selon la partie réelle.
Enfin le diagramme de Black représente le gain selon la phase.
Représentation d'état
La représentation d'état est une représentation matricielle du dispositif. On s'intéresse à des variables internes aux dispositifs, nommées variables d'état. On représente alors la dérivée des variables d'état en fonction d'elles-mêmes et de l'entrée, mais aussi la sortie suivant les variables d'état et de l'entrée.
De cette représentation on peut déduire le comportement entrée-sortie du dispositif (On peut déduire de la représentation d'état la fonction de transfert) mais également un certain nombre d'autres informations comme la commandabilité ou l'observabilité.
La représentation d'état peut aussi représenter un dispositif non-linéaire ou un dispositif variant dans le temps.
Stabilité
Dans le cas des dispositifs linéaires représentés par une fonction de transfert, l'analyse des pôles sert à conclure sur la stabilité du dispositif. On rappelle que les pôles d'une fonction de transfert sont les complexes p0, p1... qui annulent le dénominateur.
- Dans le cas d'une fonction de transfert continue utilisant la transformée de Laplace, l'ensemble des pôles doivent être à partie réelle strictement négative pour que le dispositif soit stable.
- Dans le cas d'une fonction de transfert discrète utilisant la transformée en Z, l'ensemble des pôles doivent avoir un module inférieur à 1 pour que le dispositif soit stable.
Attention, en automatique, le terme stabilité doit être défini exactement car il existe une dizaine de sortes de stabilités différentes. Généralement on fait référence à une stabilité asymptotique.
Dans le cas des dispositifs non-linéraires, la stabilité est le plus souvent étudiée avec la théorie de Lyapunov.
Asservissement
Contrôle en boucle ouverte
Dans de rares cas, l'asservissement se fait en boucle ouverte, en tenant compte seulement de la consigne.
Dispositif bouclé
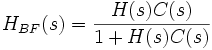
La technique d'automatisation la plus commune est le contrôle en boucle fermée. Un dispositif est dit en boucle fermée quand la sortie du procédé est prise en compte pour calculer l'entrée. Le plus souvent le contrôleur effectue une action selon l'erreur entre la mesure et la consigne désirée. Le schéma classique d'un dispositif linéaire pourvu d'un régulateur linéaire en boucle fermée est le suivant :

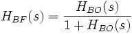
La boucle ouverte du dispositif se compose du procédé et du correcteur. La fonction de transfert de ce dispositif en boucle ouverte est donc :

Avec cette architecture on peut recalculer une nouvelle fonction de transfert du dispositif : la fonction de transfert en boucle fermée avec relations entre les différentes variables :


e (s) = r (s) − y (s)
On obtient alors : 
La fonction
représente la fonction de transfert en boucle fermée. On peut remarquer que
: c'est la formule de Black qui sert à passer d'une fonction de transfert en boucle ouverte à une fonction de transfert en boucle fermée.
Remarques :
- La boucle de retour est le chemin qui part de la sortie et qui revient au comparateur avec le signe "moins". Dans cette boucle, il y a le plus souvent un bloc représentant, dans la plus grande majorité des cas, un capteur. Si ce bloc a comme fonction de transfert "1" (ce qui équivaut à une absence de bloc car la multiplication par 1 ne change rien), on dit que le schéma-bloc est à retour unitaire. La formule auparavant énoncée n'est valable que si le schéma-bloc est à retour unitaire.
- Quel que soit le schéma-bloc (unitaire ou non, avec ou sans perturbation, ... ), le dénominateur de la fonction de transfert en boucle fermée est toujours : 1 + HBO (s) avec HBO (s) étant la fonction de transfert en boucle ouverte c'est-à-dire le produit de l'ensemble des blocs de la boucle, y compris ceux de la boucle de retour.
L'étude de cette fonction de transfert en boucle fermée permet l'analyse fréquentielle et temporelle du dispositif général avec le contrôleur.
Exemple de boucle de régulation
Reprenons l'exemple du moteur automobile.
On le commande en choisissant l'ouverture du papillon des gaz intégré au dispositif d'injection du moteur. L'ouverture est directement liée à la force appliquée sur le piston par conséquent à l'accélération du véhicule. Disons qu'elles sont proportionnelles (on néglige les pertes et la résistance de l'air sur le véhicule).
On veut maintenir une certaine vitesse, 90 km/h par exemple. 90 km/h est la consigne, il faut la comparer à la vitesse réelle donnée par un tachymètre.
La différence donne la variation de vitesse à réaliser. On en déduit l'accélération à demander au véhicule.
Connaissant le rapport entre l'accélération et l'ouverture du papillon, on calcule l'ouverture à donner au papillon pour s'approcher de la vitesse de consigne. Le compteur de vitesse prend alors la nouvelle valeur de la vitesse pour réitérer l'opération. De cette manière, quand on approche de la vitesse voulue, l'accélération diminue jusqu'à s'annuler sans brutalité.
On obtient par conséquent ce schéma.
En réalité, à cause des pertes, il faut maintenir une certaine accélération entre autres pour lutter contre la résistance de l'air.
Les différentes techniques
Il existe différentes techniques pour synthétiser les régulateurs. La technique industrielle la plus largementutilisée est le régulateur PID qui calcule une action Proportionnelle, Intégrale et Dérivée selon l'erreur consigne/mesure. Cette technique sert à satisfaire la régulation de plus de 90% des procédés industriels. La commande à modèle interne est aussi répandue.
Des techniques avancées se basent sur la commande par retour d'état (ou commande par retour d'état reconstruit par un observateur). On peut aussi utiliser la commande par placement de pôles fréquemment nommé régulateur RST.
Autres commandes :
- La Commande LQ
- La Commande LQG
- La H illimité
- La commande prédictive se basant sur l'utilisation d'un modèle dynamique du dispositif pour anticiper son comportement futur.
- La commande robuste servant à garantir la stabilité comparé aux perturbations ainsi qu'aux erreurs de modèle.
- La commande adaptative qui effectue une identification en temps réel pour actualiser le modèle du dispositif.
- La logique floue utilisant un réseau de neurones ou un dispositif expert.
- Les contrôleurs non linéaires utilisant la théorie de Aleksandr Lyapunov, comme les commandes linéarisantes ou la commande par modes glissants, plus robuste.
- La commande par platitude différentielle, qui permet l'inversion de modèle sans passer par l'intégration des équations différentielles, et ainsi de calculer les signaux nécessaires sur les entrées pour garantir les trajectoires voulues en sortie.
Liens et documents externes
- Philipe de Larminat, Automatique, commande des dispositifs linéaire, Hermes
- Patrick Prouvost, Automatique Contrôle et régulation, Dunod
- Sandrine Le Ballois, Pascal Codron : Automatique : dispositifs linéaires et continus, Dunod
- Hassan K. Khalil, Non linear Systems, Prentice Hall
- Bode, Network analysis and feedback augmenter designer, D. Van Nostrand Company
Recherche sur Google Images : |
|
"Dispositifs d´aspiration et de ..." L'image ci-contre est extraite du site www.usinenouvelle.com Il est possible que cette image soit réduite par rapport à l'originale. Elle est peut-être protégée par des droits d'auteur. Voir l'image en taille réelle (458 x 467 - 17 ko - jpg)Refaire la recherche sur Google Images |
Recherche sur Amazone (livres) : |
Voir la liste des contributeurs.
La version présentée ici à été extraite depuis cette source le 14/04/2009.
Ce texte est disponible sous les termes de la licence de documentation libre GNU (GFDL).
La liste des définitions proposées en tête de page est une sélection parmi les résultats obtenus à l'aide de la commande "define:" de Google.
Cette page fait partie du projet Wikibis.



Accueil
Recherche
Début page
Contact
Imprimer
Accessibilité